日食時の空の明るさ変化を調査 なよろ市立天文台と星空公団
【2012年5月24日 なよろ市立天文台・星空公団】
北海道名寄市のなよろ市立天文台と星空公団が、星空の見えやすさを調べるための装置を用いて、21日の日食の際に見られた空の明るさの変化を測定し結果を発表した。
なよろ市立天文台・星空公団
なよろ市立天文台と星空公団では、星空の見えやすさを継続的に調査するため、デジタル一眼レフカメラを用いた夜空の明るさ連続モニタ装置をなよろ市立天文台に設置しています。この装置を使って2012年5月21日の部分日食中の空の明るさを調査しました。調査結果から、日食が進むにつれて空の明るさが約4.4倍変化することが明らかになりました。
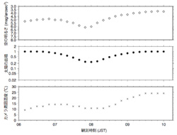
部分日食中の空の明るさの測定は、なよろ市立天文台の屋上に設置されたデジタル一眼レフカメラにより行いました。撮影データの記録には、カメラの撮影情報をほぼ加工なく出力できるRAW形式を採用しました。カメラの感度は、夜間に撮影された恒星の明るさを利用して較正しています。日食中の2012年5月21日6時から10時まで、10分間隔で真上の空を撮影し、屋内に設置したパソコンを用いて、1.7°×2.5°の範囲の明るさの分析を行いました。
画像は撮影例と、測定された名寄市の空の明るさのグラフです。明け方から徐々に空が明るくなっていくと同時に、日食が進むにつれて空の明るさが暗くなっていく様子がわかります。明るさの変化は、最も暗くなった7時50分頃で約1.6等級であり、これは明るさ比に換算すると約4.4倍になります。またこのときの太陽の面積は通常の24%であり、明るさ比で4.2倍でした。このことから、日食時の空の明るさは太陽の面積にほぼ比例して変化していたことがわかりました。また、カメラの周囲温度についても8時前後を中心に5℃程度減少しており、日食による太陽エネルギーの減少が観測されています。
これらの結果は、大気による光の散乱の影響を検証するために用いられ、観測装置の本来の目的である、夜空の明るさと大気の散乱の関係を明らかにする基礎データとして役立つと考えています。










